
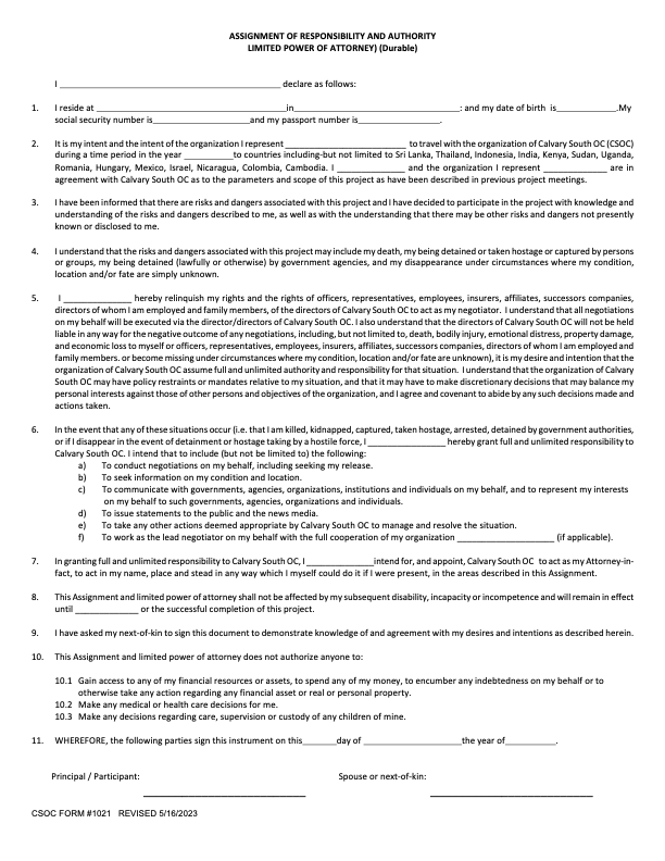
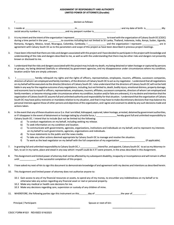
One Day Mission Trip Ensenada
April 11, 2026
Categories
Missions
Upcoming Dates
Selections
- StandardFree
Details
We will be heading down to Ensenada, Mexico on Saturday April 11th to serve in an orphanage.
Please keep in mind that registering online is just the first step in going on the trip.
There are other requirements such as: a valid passport, missions application, live scan fingerprinting, required documents and trip payment.
Once you register, I will reach out to you, to begin the application process and let you know the next step.
If you have any questions, email Pastor Fabian at fabian.m@calvarysouthoc.com.






